Volatility
IN THIS LESSON
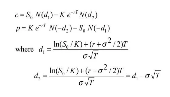
introduction to implied volatility
In this video we introduce the concept of implied volatility and how it relates to trading options.
Introduction - 0:00
Implied Volatility Definition & Calculation - 0:54
Market Implied Probabilities - 2:01
Significance of IV in options trading - 3:07
Market expectations & the fear gauge - 4:39
IV & Volatility Skew - 5:45